《纂集伤寒铃法》伤寒钤法纂要
2026-02-06 06:01:33 中医古籍
《纂集伤寒铃法》伤寒钤法纂要,全本共107个双面,合计214页。
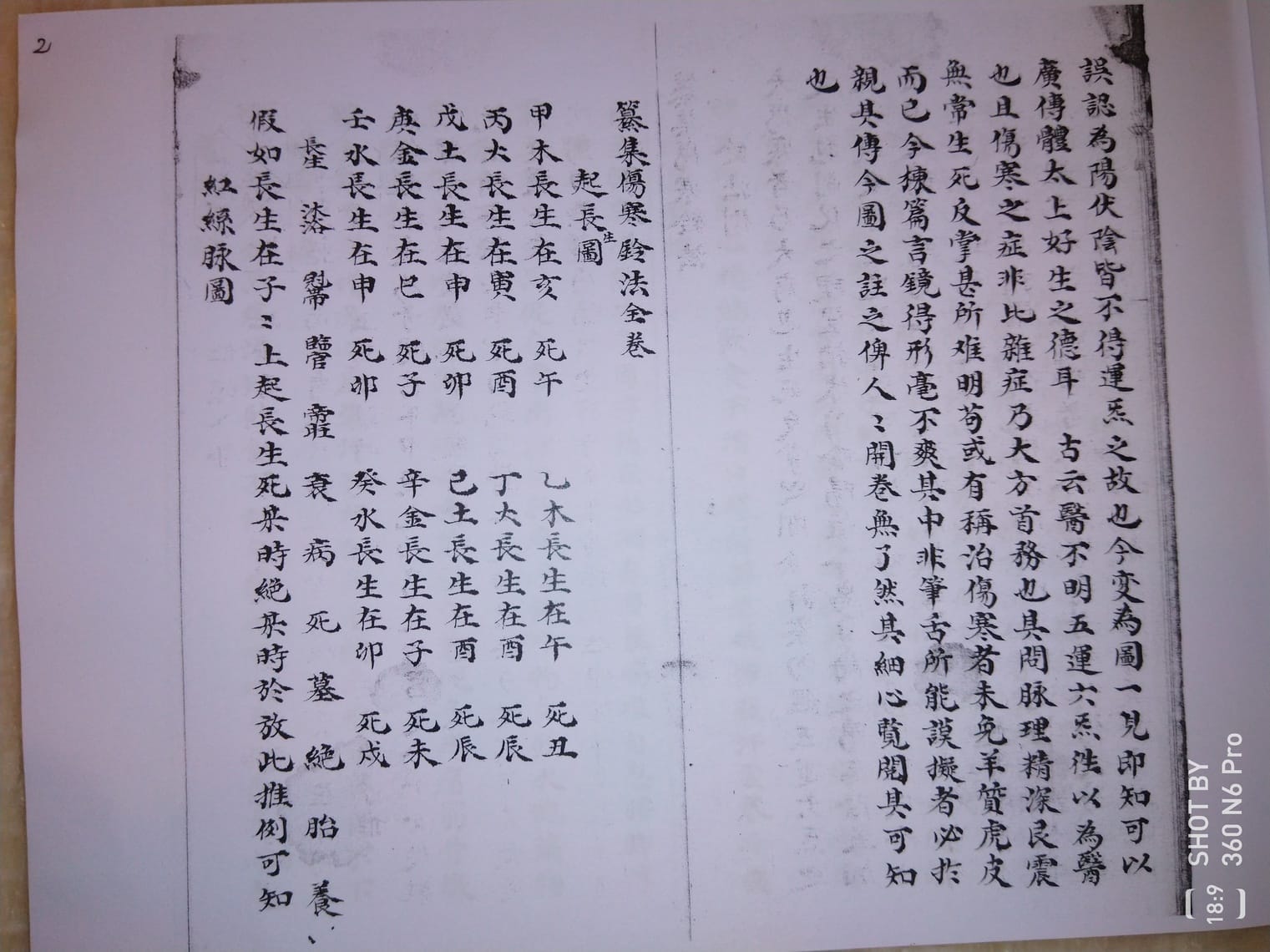
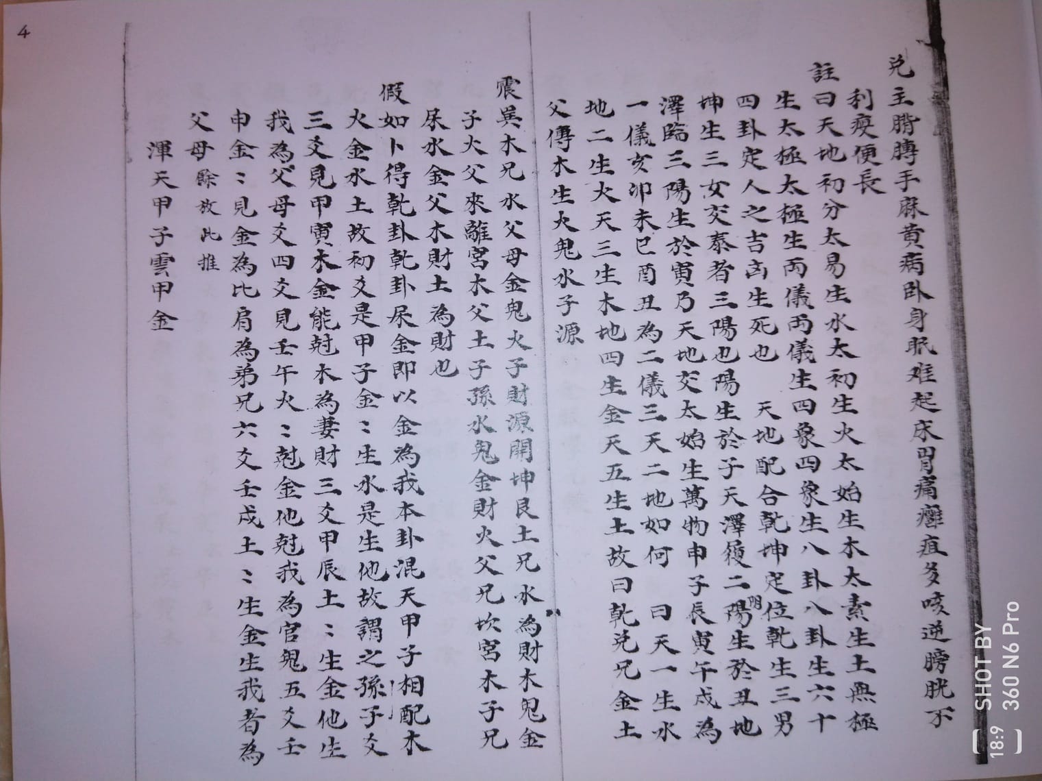
内容包括:铃法例,起长生图,红系脉图,飞宫掌歌,数禄马定吉凶歌,文昌星歌,八卦起例歌,五行八卦主病歌,五行四像八卦两仪图,旺相休囚论,八长生论,定长生断语,尸棺墓总歌,棺墓尸命炁诀,棺尸墓歌,下局二炁棺木墓逐日司天人命吉凶法,右棺墓法,棺墓上下吉凶法,断生死诀,尸炁命墓棺局,三坵五墓歌,五运化炁歌,起汗歌,六十甲子起汗法,运气加临汗瘥足经图,运气加临汗瘥手经图,铃法总歌,铃法归号歌,日字用药歌,认字号用药定局,震字十症,阳明症起例,水字四症,六经总号,太阴症,少阴症,厥阴症,三才运气总论,论五运六炁变,流年太过不及补泻法,六气主客上中下加临病症图,论客气加临补泻法,伤寒传经补泻法,男逆传经用药起例,女逆传经用药起例,运炁主客加临天时民病,逐年五运歌,伤寒求左右土气歌,六炁属脏腑歌,太乙天符年月日时诀,加临人命归症歌,运气逐日受病歌,十二经络流行形病歌,南北二症司天在泉脉法,五运逐年主炁定局,乙年岁炁燥化歌,铃胎法,定小儿生时诀,定月大月小法,定闰月法等。
查看下载地址:
免责声明:本站所有信息均来源于互联网搜集,并不代表本站观点,本站不对其真实合法性负责。如有信息侵犯了您的权益,请告知,本站将立刻删除。









